Wszystkie materiały dostępne na tej stronie internetowej, w tym teksty, grafiki, pliki multimedialne oraz inne treści, są przeznaczone do celów edukacyjnych i podlegają ochronie prawnej.
Użytkownicy mają prawo do ich wykorzystywania w ramach nauki – zarówno w szkołach, na lekcjach, jak i w domu. Można je drukować, kopiować i udostępniać uczniom oraz nauczycielom, pod warunkiem, że odbywa się to bezpłatnie i w celach dydaktycznych.
Zabrania się jednak ich rozpowszechniania w internecie, sprzedaży oraz wykorzystywania w celach komercyjnych bez uprzedniej, wyraźnej zgody właściciela praw autorskich.
W przypadku pytań dotyczących warunków użytkowania prosimy o kontakt.
Polityka prywatności
Niniejsza strona internetowa nie zbiera, nie przetwarza ani nie przechowuje żadnych danych osobowych użytkowników.
Serwis nie wykorzystuje plików cookies do celów analitycznych, marketingowych ani śledzących. Jedynymi plikami cookies stosowanymi na stronie są te, które są niezbędne do jej prawidłowego funkcjonowania na serwerze, takie jak obsługa sesji użytkownika czy zapewnienie bezpieczeństwa działania witryny.
Korzystanie ze strony oznacza akceptację powyższych zasad. W przypadku pytań prosimy o kontakt.
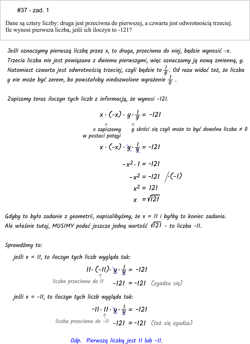
Powtórki #37 - Zadania z rozwiązaniami
Zestaw 3 zadań powtórzeniowych z rozwiązaniami i najważniejszymi wyjaśnieniami.